Перейти к содержимому

sanek_master

СУ-100Y  

130 пользователей проголосовало

  1. 1. Оборудование (штатное/трофейное/боновое/экспериментальное) - выбираем или 3 шт (при обычном прокачивании) или 6 шт (при прокачивании ПМ)

    • Улучшенная вентиляция
      7
    • Улучшенные механизмы поворота башни
      2
    • Улучшенный прицел
      5
    • Усиленные приводы наводки
      10
    • Орудийный досылатель
      13
    • Измененная компоновка
      0
    • Средний противоосколочный подбой
      0
    • Улучшенная закалка
      0
    • Турбонагнетатель
      0
    • Дополнительные грунтозацепы
      0
    • Маскировочная сеть
      3
    • Малошумная система выхлопа
      2
    • Просветленная оптика
      2
    • Стереотруба
      3
    • Система повышения мобильности (Турбонагнетатель и Улучшенные механизмы поворота)
      1
    • Комплекс улучшения выживаемости (Улучшенная закалка и Изменённая компоновка)
      0
    • Многозубая каретка досылателя (Досылатель и Вентиляция)
      0
    • Расточка каморы (Досылатель и Вентиляция)
      0
    • Хочу посмотреть результаты
      6
  2. 2. Снаряжение

    • Малый ремкомплект (3 000 серебра)
      16
    • Большой ремкомплект (20 000 серебра)
      3
    • Малая аптечка (3 000 серебра)
      16
    • Большая аптечка (20 000 серебра)
      1
    • Ручной огнетушитель (3 000 серебра)
      8
    • Автоматический огнетушитель (20 000 серебра)
      4
    • Доппаёк (20 000 серебра)
      3
    • Подкрученный регулятор оборотов двигателя (3 000 серебра)
      0
    • Ленд-лизовское масло (5 000 серебра)
      0
    • Хочу посмотреть результаты
      4
  3. 3. Оценка СУ-100Y

    • Полностью доволен, отличная ПТ
      5
    • Хорошая ПТ, крепкий середнячок
      7
    • Разочарован, не советую
      5
    • Хочу посмотреть результаты
      4


Рекомендованные публикации

Игроки
482 публикации
74 411 боёв
01 Май 2014 - 20:26 пользователь lCRYl сказал:

Плохие новости :ohmy:

согласен, хорошего мало, виной всему ведьма думаю)) да такие как т49)

с наводкой, досылателем и сеткой гоняеш?

Если рюкзак тяжёлый, зачем ты его одеваешь?

 

 

 

Ссылка на комментарий
Поделиться на других сайтах

Игроки
373 публикации
18 016 боёв
В теории он убирает хелкета фугасом с одного выстрела, это часто работает на практике?, и можно-ли его таким макаром использовать в ротах? Изменено пользователем Гость
Ссылка на комментарий
Поделиться на других сайтах

Игроки
482 публикации
74 411 боёв
02 Май 2014 - 10:04 пользователь nubik_rubika сказал:

В теории он убирает хелкета фугасом с одного выстрела, это часто работает на практике?, и можно-ли его таким макаром использовать в ротах?

так оно и есть, ваншот)

изначально заряжаю бб, оф в тех случаях: когда в тиме соперника хотяб половина ведьм, так как перка интуиция пока нет, очень полезным будет на сей агрегат) 

Изменено пользователем RuslanIvantsov

Если рюкзак тяжёлый, зачем ты его одеваешь?

 

 

 

Ссылка на комментарий
Поделиться на других сайтах

Игроки
245 публикаций
41 781 бой
http://wotreplays.ru/site/2424793#malinovka-ctalnieyaica-su-100y Да уж, реплей су100у в топе... Жалко такие команды противников.
Ссылка на комментарий
Поделиться на других сайтах

Игроки
11 публикаций
20 055 боёв

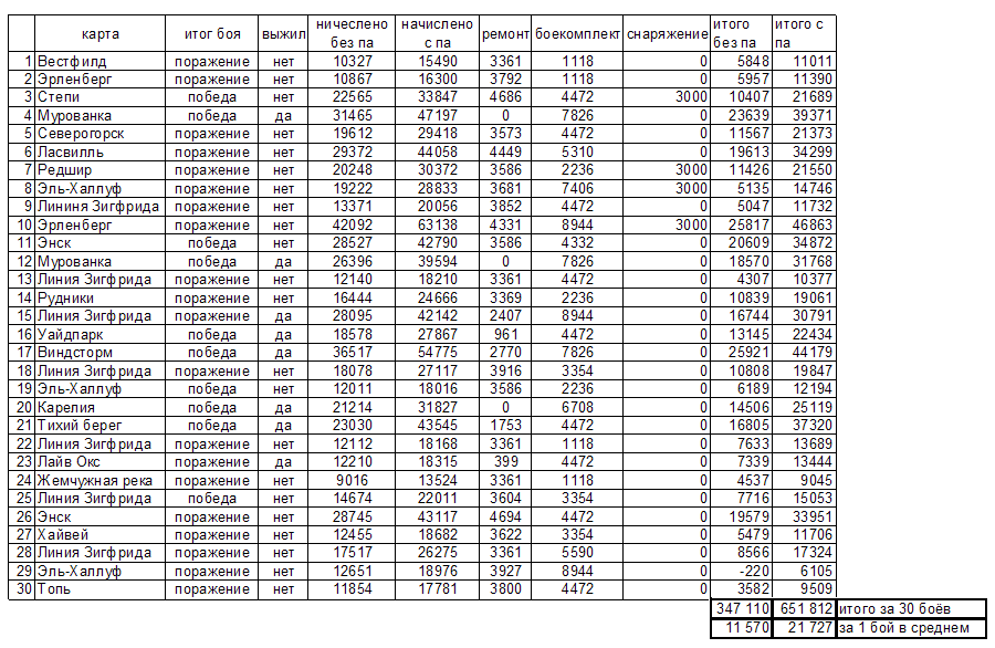
Откакатал в выходной 30 боёв. Сделал записи по прибыльности. Процент побед за этот марафон снизился с 61 до 54. :ohmy:

http://cdn-frm-eu.wargaming.net/wot/ru/uploads/monthly_05_2014/post-257932-0-82921800-1399125846_thumb.png

 

 

 

су-100y.PNG

  • Плюс 1
Ссылка на комментарий
Поделиться на других сайтах

Игроки
1 764 публикации
17 653 боя
01 Май 2014 - 19:18 пользователь RuslanIvantsov сказал:


скоро разрабы понерфят маскировку после выстрела у пт, будет жутко на Игорьке... и сетка не спасёт


100Y нерф не коснется, потому что у него нет маскировки :trollface:

 

первый раз заметил это в одном бою, на рудниках, в кустах верхнего респа. я на су-85 стоял в тех же кустах, что и 100Y - его после первого же выстрела расстреляли со всех сторон карты, видимые и невидимые противники, издали и вблизи. меня, сколько ни стрелял, так и не заметили.

 

сейчас на 100Y стараюсь быть "на пределе отрисовки" и лезть в атаку только в крайних случаях.

Заработай голду к майским скидкам на премиум-танки! Переходи по ссылке. Успевай к Дню Победы - потом не будет!  Код на +10 в мобильном приложении - k3az8

 

Ссылка на комментарий
Поделиться на других сайтах

Игроки
574 публикации
78 102 боя
03 Май 2014 - 14:07 пользователь Amantir_Borg сказал:

Откакатал в выходной 30 боёв. Сделал записи по прибыльности. Процент побед за этот марафон снизился с 61 до 54. :ohmy:

http://cdn-frm-eu.wargaming.net/wot/ru/uploads/monthly_05_2014/post-257932-0-82921800-1399125846_thumb.png


С такой доходностью (учитывая стоимость комплектующих к ней) это бег за собственным хвостом... Осенью каждый вечер с 22:00-24:00 приносил на счет по 500 000. Трудно даже подсчитать сколько начисляли (помню только максимум был 129 000). Обул-одел во все что можно все танки какие были, жаль только ума не хватило на будущее закупать...

ps

И кстати, щас у вас на скидку % поражений побольше вроде бы...

Изменено пользователем Andrew_I
Ссылка на комментарий
Поделиться на других сайтах

Игроки
2 396 публикаций
36 365 боёв
Использую этот сарай как дополнительную казарму,больше он ни на что не годится.
Ссылка на комментарий
Поделиться на других сайтах

Игроки
346 публикаций
34 077 боёв
06 Май 2014 - 20:20 пользователь Gres27 сказал:

Использую этот сарай как дополнительную казарму,больше он ни на что не годится.

гоу во взвод я научу тебя на ней сливаться 

 

Пользователь сказал:

Границы расширяет  , тот кто выходит за них 

 

 

Ссылка на комментарий
Поделиться на других сайтах

Игроки
2 396 публикаций
36 365 боёв
Спасибо,у самого нехило получается:teethhappy:
Ссылка на комментарий
Поделиться на других сайтах

Игроки
1 764 публикации
17 653 боя
06 Май 2014 - 23:20 пользователь Gres27 сказал:

Использую этот сарай как дополнительную казарму,больше он ни на что не годится.


очень зря - вполне норм пт. только не надо на ней танковать и стрелять в гусеницы. и не светиться.

Заработай голду к майским скидкам на премиум-танки! Переходи по ссылке. Успевай к Дню Победы - потом не будет!  Код на +10 в мобильном приложении - k3az8

 

Ссылка на комментарий
Поделиться на других сайтах

Игроки
4 756 публикаций
22 813 боёв
08 Май 2014 - 11:25 пользователь ns2033 сказал:


очень зря - вполне норм пт. только не надо на ней танковать и стрелять в гусеницы. и не светиться.

Никто на ней не танкует, ерунду не говори. У нее проблемы только с габаритами, она и так светится хорошо, а в 0.9.1 вообще придется только с 400+м стрелять.

  • Плюс 1
Ссылка на комментарий
Поделиться на других сайтах

Игроки
706 публикаций
36 190 боёв

Прошу совета у опытных водителей СУ-100Y, есть экипаж с 2-мя полными перками и начатым 3-м перком (18%), собираюсь этот экипаж посадить на СУ-100Y, нужен совет по распределению перков. Получаются варианты (ББ + маскировка, но тогда без ремонта), (ББ + ремонт, но тогда без маскировки), (ремонт + маскировка, но тогда без ББ). Посоветуйте, какой вариант предпочтительнее для "Игорька".

 

Заранее спасибо за ответы.

Ссылка на комментарий
Поделиться на других сайтах

Игроки
4 756 публикаций
22 813 боёв
08 Май 2014 - 21:31 пользователь PsychoDuck сказал:

Прошу совета у опытных водителей СУ-100Y, есть экипаж с 2-мя полными перками и начатым 3-м перком (18%), собираюсь этот экипаж посадить на СУ-100Y, нужен совет по распределению перков. Получаются варианты (ББ + маскировка, но тогда без ремонта), (ББ + ремонт, но тогда без маскировки), (ремонт + маскировка, но тогда без ББ). Посоветуйте, какой вариант предпочтительнее для "Игорька".

 

Заранее спасибо за ответы.

http://cdn-frm-eu.wargaming.net/wot/ru/uploads/monthly_05_2014/post-333321-0-92557500-1399633132_thumb.jpg

Ссылка на комментарий
Поделиться на других сайтах

Игроки
346 публикаций
34 077 боёв
08 Май 2014 - 18:31 пользователь PsychoDuck сказал:

Прошу совета у опытных водителей СУ-100Y, есть экипаж с 2-мя полными перками и начатым 3-м перком (18%), собираюсь этот экипаж посадить на СУ-100Y, нужен совет по распределению перков. Получаются варианты (ББ + маскировка, но тогда без ремонта), (ББ + ремонт, но тогда без маскировки), (ремонт + маскировка, но тогда без ББ). Посоветуйте, какой вариант предпочтительнее для "Игорька".

 

Заранее спасибо за ответы.

 

качай 50/50

http://cdn-frm-eu.wargaming.net/wot/ru/uploads/monthly_05_2014/post-6327277-0-65813500-1399649949_thumb.jpg

 

shot_178.jpg

 

Пользователь сказал:

Границы расширяет  , тот кто выходит за них 

 

 

Ссылка на комментарий
Поделиться на других сайтах

Игроки
346 публикаций
34 077 боёв
09 Май 2014 - 19:55 пользователь ggKenshin сказал:

Можно нескромный вопрос?Зачем Игорьку ремонт?Бесполезнее него разве что пожаротушение. Если раз поставили на каток - хватит ремки, а если еще раз поставили - значит уже хана и идет жесткий обстрел

1 ремонт  нужен всем пт тк нет башни

2 представь ремонт 5 сек - экономия ремки 

 

Пользователь сказал:

Границы расширяет  , тот кто выходит за них 

 

 

Ссылка на комментарий
Поделиться на других сайтах

Игроки
706 публикаций
36 190 боёв
Господа "Игорьководы", а какой средний урон на данной ПТ-шке считается нормальным?
Ссылка на комментарий
Поделиться на других сайтах

Игроки
550 публикаций
26 883 боя
Ссылка на комментарий
Поделиться на других сайтах

Игроки
8 публикаций
13 600 боёв

Отъездил 20 боев на Иорьке + в трене потестил, решил написать свое ИМХО (в ключе того, что вообще не играю на прокачиваемой технике, некогда мне этим заниматься, поэтому только премы в ангаре):
Общее впечатление:
Думал его брать или Максика, но т.к. есть ФЦМ-ка 3-го лвл, а Максик по стилю игры ее высокоуровневый клон, то взял Игорька. Агрегат напоминает СУ-152 с шайтанкой, на которой много ездил у брата, пока свой акк не сделал, тактика игры схожа и мне привычна, любимая пт была. Пушка по пробою отлична, точность в целом тоже нормальна (особенно в сравнении с СУ-152). Динамика огонь, с места стартует резвее Хелкета, с таким движком жаль, что максималку зарезали до 35 км/ч, движок способен на большее :) Балансит его жестко, из 20 боев только 3 попал к 6-ым лвл, остальное 50 на 50 к 7 и 8.  В целом аппарат понравился, а теперь подробнее о плюсах и минусах для меня, и исходя из них, о модулях:
МИНУСЫ:
1. Огромный сарай. У Игорька проблемы не с маскировкой как таковой (камуфляж+сеть+куст очень неплохо снижают заметность), а именно с высотой его, банально трудно в условиях боя найти кусты подходящей высоты (все же Игорек должен работать как поддержка, следуя за подсветом союзников), такие кусты если и есть вообще, то их по пальцем одной руки пересчитать можно. Только в лесу еще можно неплохо спрятаться.
=> учить МАСКИРОВКУ особого смысла нет, можно с большей пользой потратить у каждого по одному перку  (базовый коэф. = ~4%, перки дадут прибавку еще в 4%, что несущественно, даже КАМУФЛЯЖ даст больше - 5%, а СЕТЬ еще 15%)
2. Слабый обзор. Игорек не способен светить сам себе, оставаясь при этом после выстрела незаметен (а с 8 лвл вообще увидит противника только после его выстрела по своей тушке). Поэтому на что-то рассчитывать можно только оставшись 1 на 1, а если команда позорно слилась, оставив 2+ врагов, то и ваша смерть уже близко. 
=> Тут может помочь ТРУБА. +25% дадут аж 437,5м обзора, что позволит сделать первый выстрел и, обычно, последний (либо для противника, либо для нас). НО из-за того, что Игорек сильно командозависим, то это некритично, и если уж остались одни против одного противника (не оленя), у которого хп больше, чем наш 1 выстрел, то шансов маловато.  И ради столь специфичной ситуации занимать слот трубой не целесообразно, есть модули полезнее. Особенно если учесть, что для премов проигрыш на доходность не столь сильно влияет, как у прокачиваемой технике, то право последнего выстрела слота точно не стоит. Уж лучше поставить СЕТЬ и оставшись один, найти куст. Засвет будет при ~130-150м, даже без трубы вы заметите противника раньше, чем он вас => тоже право последнего выстрела, но сетка и при настреле со второй линии небольшой плюс даст.
3. Низкий дпм и долгое сведение. Уступает практически всем одноуровневым пт. Но разовый урон все равно позволит себя чувствовать альфа-самцом и номером 1 :) На своей практике, реализовывать дпм случается редко, обычно успеваешь 1 выстрел сделать по врагу и он ныкается за ближайшее препятствие. Но пушка - наше самое большое преимущество, поэтому надо всячески его усилить.
=> ДОСЫЛАТЕЛЬ обязателен. ПРИВОДЫ наводки желательны, т.к. заметил, что снаряды уж очень рандомно летят, то в край, то в самый центр, во вражеский торчащий пиксель, причем одинаково часто. Поэтому лучше досводиться полностью, минимизируя промах в случае улета в край сведения, а это время, а время - это дпм. В общем, приводы куда полезнее той же трубы :)
ПЛЮСЫ:
1. Высокий сарай. Как ни странно, открыл прекрасную возможность стрелять поверх многих союзников, что плено в плане защиты своей тушки в замесах на ближних/средних дистанциях (например, в городе). Или над камнем, чтоб после выстрела поверх него, лишь чуток откатившись, скрыться за ним.
2. Динамика. Отлично стартует с места, что при весе в 64 т. превращает нас в страшный таран. Светляков перемалывает полностью, пт типа котяры сносит от половины до 2/3 хп и продолжает тащить. СТшкам тоже достается прилично. На многих картах этим можно пользоваться очень часто: выстрел + таран  (пт вообще часто занимают места повыше, чтоб простреливать лучше, а значит и сорваться на врага можно шустрее). Даже нетяжелые ТТ, у которых хп оставалось на сотню-другую больше моего среднего дамага удавалось унести таким образом.
=> Имхо полезен, пока не вкачено БоБр, модуль ПОДБОЙ (когда (если) будет БоБр, поменять на ВЕНТИЛЬ). Ну или пока не вкачен перк МАСТЕР ТАРАНА, что для этой пт очень полезно. Но в отличие от перка, модуль еще и от арты защищает, снижая на 30% урон (в реальном бою арта 6-7 лвл меня еще пока не пробивала, да и в треньке гриль по мне стрелял тоже без пробития, возмонжо везло, но для меня пока это факт. Но от сплеша Гриля урон 250-350 хп, а с подбоем снизился до 150-200, а это еще пара попаданий от арты), плюс снижает на 30% вероятности контузии экипажа от всех типов снарядов, что тоже только в плюс к нашей эффективности. 
В общем, как временный модуль, крайне рекомендуется и спорит по полезности с сеткой.
3. Альфа и пробитие. Пробитие основного снаряда отличное, не хватает только на крепких 8 лвл, и тут печаль - голды с повышенным пробитием нету, только с пониженным, но с еще большей альфой. Но если совсем плохо, есть фугасы, но я ими пока еще не стрелял, насколько они эфективны против лба того же ИС-3 не знаю. 
-------------------------------------------
Итог
Важные модули: досылатель, приводы (и вентиляция в случае вкаченного Братства). Полезные модули: подбой либо сетка.
Полезные перки: 
Командир: лампочка, радиоперехват
Мехвод: виртуоза, мастер тарана
Заражающие (2): отчаянный и интуиция, бесконтактная боеукладка и интуиция. А больше там выбрать и нечего )
Наводчики (2): плавный поворот и снайпер, мастер-оружейник и ремонт (тоже выбрать полезного нечего больше)
по желанию ВСЕМ: БоБр (преимущества полезности сего навыка в отличие от полезности совокупности специализированных навыков у каждого я как-то не замечаю, профессионалы в этом вопросе, растолкуйте плиз)

Ссылка на комментарий
Поделиться на других сайтах

Игроки
1 764 публикации
17 653 боя
08 Май 2014 - 21:31 пользователь PsychoDuck сказал:

Прошу совета у опытных водителей СУ-100Y, есть экипаж с 2-мя полными перками и начатым 3-м перком (18%), собираюсь этот экипаж посадить на СУ-100Y, нужен совет по распределению перков. Получаются варианты (ББ + маскировка, но тогда без ремонта), (ББ + ремонт, но тогда без маскировки), (ремонт + маскировка, но тогда без ББ). Посоветуйте, какой вариант предпочтительнее для "Игорька".

 

Заранее спасибо за ответы.


хочешь обучить именно на 100Y? зачем?

Заработай голду к майским скидкам на премиум-танки! Переходи по ссылке. Успевай к Дню Победы - потом не будет!  Код на +10 в мобильном приложении - k3az8

 

Ссылка на комментарий
Поделиться на других сайтах

В целях безопасности не указывайте здесь личную информацию о себе или о ком-либо другом, так как мы не сможем защитить её в соответствии с Политикой конфиденциальности Леста Игры.

Пожалуйста, войдите для комментирования

Вы сможете оставить комментарий после входа



Войти сейчас
  • Сейчас на странице   0 пользователей

    • Эту страницу никто не просматривает.
×
×
  • Создать...